Skip Navigation
Telegram
DeepSeek V4 Preview оказалась лучшим ИИ в математике и коде среди open source моделей


DeepSeek выпустила V4 Preview с открытыми весами.

DeepSeek-V4-Pro : 1,6 Тб общего объема / 49 Б активных параметров. Производительность, сопоставимая с лучшими в мире моделями с закрытым исходным кодом.

Тестируем здесь

🫥 UNSERO: Цифровой Горизонт
Telegram
🤖 DeepSeek представила новую модель, которая «догоняет» лидеров рынка ИИ


DeepSeek объявила о предварительном просмотре новой архитектуры своих моделей искусственного интеллекта. По словам компании, благодаря улучшениям в архитектуре, новые модели стали значительно более эффективными и производительными по сравнению с предыдущей версией DeepSeek V3.2. Ключевое достижение — эти модели почти «сократили разрыв» с текущими лидирующими моделями, как открытыми, так и закрытыми, в стандартных тестах на логическое мышление и рассуждение (reasoning benchmarks).

#DeepSeek #ИИ_Архитектура #ReasoningBenchmarks
Telegram
Запускаем Claude Code без ключа от Anthropic 🏴‍☠️


Запускаем Claude Code без ключа от Anthropic 🏴‍☠️

Недавно появился очень любопытный проект free-claude-code. По факту это прокси-сервер на FastAPI, который подменяет собой эндпоинты Anthropic. Вы скармливаете ему запросы от оригинального Claude Code, а он роутит их куда вам выгодно: в бесплатный тир NVIDIA NIM, в OpenRouter, напрямую в DeepSeek или вообще в локальный LM Studio / llama.cpp.

Что тут интересного (кроме очевидной халявы):

1️⃣ Heuristic Tool Parser
Дешевые или локально запущенные квантованные модели часто тупят с вызовом тулзов в строгом формате. Автор написал собственную стейт-машину (providers/common/heuristic_tool_parser.py), которая парсит сырой текстовый выхлоп модели и прямо в стриме заворачивает его в легитимный Anthropic tool_use блок. Идеальный костыль для глупых моделей, чтобы заставить их работать с инструментами Claude.

2️⃣ Перехват служебного трафика
В api/optimization_handlers.py реализован локальный перехват "мусорных" реквестов. Claude Code под капотом постоянно шлет запросы на чек квоты, генерацию тайтлов для истории, автокомплит путей к файлам и саджесты. Прокси отбивает их сам захардкоженными ответами, вообще не дергая внешнюю LLM. Экономит время, деньги и лимиты.

3️⃣ Трансляция рассуждений на лету
ThinkTagParser в реальном времени выкусывает теги <think> (привет, DeepSeek-R1) или извлекает reasoning_content из ответа провайдера, мапя их в официальные thinking блоки Anthropic. Для клиента это выглядит так, будто отвечает нативный Claude.

Как дикий бонус: к прокси прикручен хендлер для Telegram и Discord. Можно натравить бота на локальную папку с проектом, кидать ему войсы (транскрибируются через локальный Whisper), а агент будет писать код у вас на компе. Идеально, если хочется пофиксить прод, пока едешь в такси (пожалуйста, не надо так делать).

Срочно пробовать! Отпишитесь потом, можно ли работает ли очередная спасительная халява ☕️
Telegram
DeepSeek выпустил V4 — предварительную версию модели, которая напрямую бросает вызов GPT-5
DeepSeek выпустил V4 — предварительную версию модели, которая напрямую бросает вызов GPT-5.4 и Claude Opus 4.5. Но самое интересное не в бенчмарках (хотя они тоже впечатляют).

Вот что реально важно:

🔹 Работает на чипах Huawei. Да, не Nvidia. DeepSeek полностью адаптировал V4 под китайские процессоры, что говорит о двух вещах: технологическая независимость Китая в ИИ уже не мем, а реальность; и Nvidia теперь есть о чём беспокоиться не только со стороны AMD.

🔹 Контекстное окно — 1 миллион токенов. Для сравнения: это целая база кода среднего стартапа или 3-4 длинных юридических контракта, которые модель может проанализировать за один запрос. Claude Opus с таким же окном стоит в 10 раз дороже.

🔹 Открытый исходный код. Пока западные лаборатории продают API-доступ по премиум-ценам, DeepSeek раздаёт модель бесплатно. Результат? Китайские чипмейкеры взлетели на 15-20% за день после анонса.

🔹 Два режима: Pro и Flash. Один для сложных задач (код, аналитика, научные статьи), другой для скорости. При этом оба — дешевле аналогов от западных конкурентов.

Венчурный угол:

Стоимость обучения ИИ-моделей только что упала ещё ниже. Если раньше считалось, что за frontier-моделями будущее только у гигантов с миллиардными бюджетами, DeepSeek доказывает обратное — умные архитектурные решения (Hybrid Attention, оптимизация под конкретные чипы) могут компенсировать меньшие вычислительные ресурсы.

Вопрос дня: если Китай сможет производить конкурентоспособные ИИ-модели на собственных чипах и по цене в 5-10 раз ниже западных — как изменится глобальная конкуренция в enterprise-сегменте?

Я в Telegram: t.me/digitalvc
Я в Макс: bit.ly/4unwp5X
Я в VK: vk.ru/dreidman
Telegram
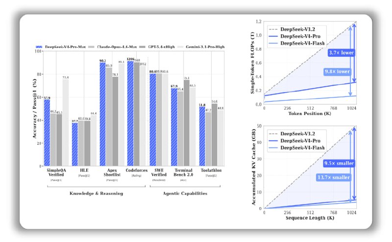
🔴 DeepSeek V4 — китайцы снова всё сломали


🔴 DeepSeek V4 — китайцы снова всё сломали.

Две модели. Бесплатно. Open source.

V4-Pro — 1,6 трлн параметров, топ по коду и математике.
V4-Flash — 284 млрд (активны 13 млрд), быстрее и дешевле.

Против GPT-5.4, Claude Opus 4.6, Gemini 3.1:
— Codeforces: 3206 — выше GPT-5.4 (3168) и Gemini (3052)
— LiveCodeBench: 93.5 — лучший из всех
— HMMT 2026: 95.2 — топ по сложной математике
— IMOAnswerBench: 89.8 — выше всех конкурентов


Эффективность vs V3.2:
V4-Pro потребляет в 4 раза меньше FLOPs, V4-Flash — в 10 раз. 50 ГБ KV-кэша у V3.2 → 5 ГБ у V4-Flash. Больше запросов, меньше железа.


Интеграция с Claude Code и Codex из коробки.

MUSIN PRO | DeepSeek V4

#DeepSeek #AI #нейросети #OpenSource #LLM